
20,404
1,197
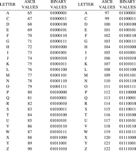
Binary Chart
DESCRIPTION
Binary Chart
"Binary Chart"
Public Domain
Free to use for personal and commercial projects. No attribution required.
File Info
Resolution1092 x 1125
Size3.9 MB
FormatJPG
LicenseFree to use

Binary Chart
Free to use for personal and commercial projects. No attribution required.